

| 过滤介质 | 聚酯 (PET) |
| 长度 | 5 英寸、9.75 英寸、9.8 英寸、10 英寸、20 英寸、30 英寸、40 英寸 |
| 外径 | 2.68 英寸(68 毫米) |
| 内径 | 1.1 英寸(28 毫米) |
| 过滤等级 | 1μm、5μm、10μm、20μm、30μm、50μm、100μm |
| 核心 | 聚丙烯 |
| 外网 | 聚丙烯 |
| 端盖/垫片 | 塑料溶胶/聚氨酯 |
| 端盖类型 | 双开口 (DOE) |
● 与多种化学品和消毒剂具有出色的相容性
● 更换次数少,易于清洗和重复使用,需要更少的维护
● 多种长度可供选择,满足不同需求和设备要求
● 塑料溶胶 (PVC) 端盖/垫圈提供可靠的密封、大表面过滤面积和高流量
● 聚丙烯外网增强抗压能力,延长PET褶皱滤芯的使用寿命
| PCW | 预 RO/DI | 电子产品 |
| 饮用水 | 冷却水 | 食品和饮料 |
| 药品 | 工业用水和电镀 | 化学品和有机溶剂 |
聚酯折叠滤芯的操作数据
| 最高工作温度 | 75℃(167°F) |
| 最大。 压差 | 20℃ 时为 4.8 bar(68°F 时为 70 psi) |
| 50℃ 时为 3.4 bar(122°F 时为 50 psi) | |
| 最大反向压力 | 40 psid @ 70°F (2.8 bar @ 21°C) |
| 建议更换压差 | 2.4 巴(35 psid) |
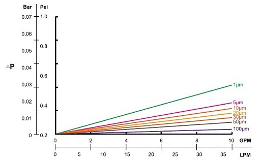
10" 聚酯褶皱滤芯的压降率


● 洪泰端盖采用优质聚氨酯制成,表面光滑有利于密封,而其他端盖采用劣质胶水制成,粗糙
● 洪泰PET褶皱滤芯是褶皱紧密、过滤面积更大,而其他滤芯褶皱数量稀疏、表面积更小
● 洪泰聚酯打褶墨盒的打褶数等于或大于50,低质量的打褶数小于50
● 洪泰PET折叠墨盒拥有先进的外网,加强整体结构,其他的没有做得很好整齐的外网
| 聚酯 | 长度 | 微米等级 | 外面 |
|
PET系列 聚酯褶式滤芯 |
5 = 5 英寸 | 1 = 1μm | W = 带 PP 网 |
| 9.75 = 9.75" | 5 = 5μm | ||
| 9.8 = 9.8" | 10 = 10μm | ||
| 10 = 10 英寸 | 20 = 20μm | ||
| 20 = 20 英寸 | 30 = 30μm | O = 没有网 | |
| 30 = 30 英寸 | 40=40μm | ||
| 40 = 40 英寸 | 50 = 50μm | ||
| 100 = 100μm |
例如:
PET-10-5-W
PET 系列聚酯折叠滤芯 - 10" - 5μm - 带 PP 网