

| 过滤介质 | 聚丙烯 (PP) 褶状 |
| 长度 | 20 英寸(508 毫米)、40 英寸(1016 毫米)、60 英寸(1524 毫米) |
| 外径 | 6 英寸(152 毫米) |
| 内径 | 73.5毫米 |
| 过滤等级 | 1μm、2μm、3μm、5μm、10μm、20μm、40μm、70μm、100μm |
| 支持/排水 | 聚丙烯 (PP) |
| 端盖材料 | 玻璃纤维增强聚丙烯 (PP) |
| 外面 | 刚性硬保持架,不锈钢(特殊) |
| 密封材料 | EPDM、丁腈橡胶、氟橡胶 |
● 褶式高流量过滤器的梯度孔隙结构提供分层过滤功能
● 外层硬质笼比软网制成的大流量过滤器能承受更高的压力
● 过滤系统空间可最大减少50%,降低维护成本
● 高流量折叠滤芯最高流量可达110 M3/H,Beta 5000额定值(效率99.98%)
● 高流量过滤器的从内到外的过滤模式确保将所有杂质保留在褶皱介质内
● 高流量褶皱滤芯过滤效率高,废物处理成本更低,因此更加经济
● 材料符合 FDA 要求,具有广泛的化学兼容性,不含树脂、粘合剂或粘合剂,并经过 100% 完整性测试
● 油漆和涂料
● 微电子、薄膜、树脂
● 发电水处理
● RO预过滤及海水淡化
● 生物领域溶剂、原料药、水过滤
● 瓶装水、高果糖、食用油、软饮料和牛奶
HFA系列折叠式大流量滤芯运行数据
| 最高工作温度 | 180°F @ 20 psid(82°C @ 1.4 bar) |
| 160°F @ 30 psid(71°C @ 2.1 bar) | |
| 77°F @ 50 psid(25°C @ 3.4 bar) | |
| 建议的最大水流量 | 20 英寸长度:660 LPM |
| 40 英寸长度:1,300 LPM | |
| 60 英寸长度:1,900 LPM | |
| 液体流动方向 | 从内到外 |
| 典型表面积 | 每 20 英寸滤芯 3.5 平方米 |
| 每 40 英寸滤芯 7 平方米 | |
| 每 60 英寸滤芯 10.5 平方米 | |
| 建议更换压差 | 20℃ 时 2.5 巴 |
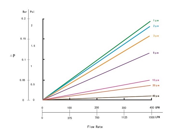
40" HFA 系列褶式高流量滤芯的压降率

高流量滤芯设计

● 强大的技术团队可帮助定制特殊褶式大流量过滤器
● 3D高端设计展现颇尔Ultipleat高流量过滤器替代结构优势
● 完整的设计对于高流量折叠滤芯的研发和制造非常重要
● 高度关注每一个细节,更好的设计打造更高品质的水过滤系统大流量滤芯
褶式高流量滤芯的安装

● 大流量滤芯为内向外流型,无旁路,使用寿命长
● 适合安装立式或卧式不锈钢过滤器外壳和塑料过滤器外壳
● 外置硬质保持架,结构稳定,100%完整性,需要时可加内芯
● 高流量和低压差、标称或绝对额定过滤器的设计可满足要求
● 占地面积更小,水过滤系统更经济,维护和废物处理成本更低
● 易于安装和更换,节省人力和维护成本,适合国际标准过滤器外壳
| 氢氟酸 | 材质 | 长度 | 过滤等级 |
O 型圈 材质 |
内部(选择性) |
|
HFA系列 褶皱高流量 滤芯 |
P = PP 褶皱 | 20 = 20 英寸(508 毫米) | 1 = 1μm | E = 三元乙丙橡胶 | C = 中央 PP 芯 |
| 2 = 2μm | |||||
| 3 = 3μm | |||||
| 40 = 40 英寸(1016 毫米) | 5 = 5μm | B=丁纳橡胶-N | |||
| 10 = 10μm | |||||
| 20 = 20μm | |||||
| 60 = 60 英寸(1524 毫米) | 40 = 40μm | V = 氟橡胶 | |||
| 50 = 50μm | |||||
| 70 = 70μm | |||||
| 100 = 100μm |
例如:
HFA-P-40-5-E
HFA 系列褶式高流量滤芯 - 材料:聚丙烯 - 长度 = 40 英寸 - 过滤精度 = 5μm - O 形圈材料 = EPDM
可定制特殊规格高流量折叠滤芯,如中心PP芯、特殊端盖或不锈钢外笼等。